ZOZNAM miest a obcí, ktoré majú nárok na podporu z eurofondov
Máte vypnuté reklamy
Vďaka financiám z reklamy prinášame kvalitné a objektívne informácie. Povoľte si prosím zobrazovanie reklamy na našom webe. Ďakujeme, že podporujete kvalitnú žurnalistiku.
BRATISLAVA / Ministerstvo investícií, regionálneho rozvoja a informatizácie (MIRRI) SR vyhlásilo výzvu na 127 miliónov eur. Určená je pre takmer 1 500 miest a obcí na Slovensku vrátane Bratislavského kraja, ktoré vlani poskytli pomoc a útočisko utečencom z Ukrajiny.
Samosprávy tak môžu žiadať o príspevok z eurofondov na kompenzáciu svojich nákladov v súvislosti s migračnou krízou. Na tlačovej konferencii o tom informovali predstavitelia ministerstva vo štvrtok 16. marca. "Vyzývam starostov a primátorov, aby nečakali a požiadali o preplatenie nákladov. Systém vyplácania bude rýchly, bez zbytočnej byrokracie. Stačí podať žiadosť a ich náklady im preplatíme. Peniaze môžu použiť na rozvoj regiónu," skonštatovala vicepremiérka a dočasne poverená ministerka investícií Veronika Remišová (Za ľudí).
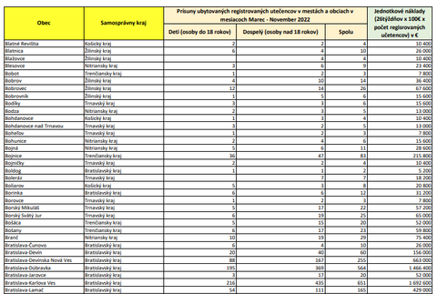
Zoznam miest a obcí, ktoré majú na podporu z eurofondov nárok
Zoznam oprávnených miest a obcí, ktoré majú na podporu z eurofondov nárok, je súčasťou výzvy, ktorá je zverejnená na webe MIRRI. Suma 127 miliónov eur bude rozdelená ako paušálna podpora, maximálne 100 eur za prijatie jednej osoby s dočasným útočiskom na týždeň, najviac na obdobie 26 týždňov. Pomoc si môžu nárokovať za obdobie od februára do novembra minulého roka.
Na jedného prijatého utečenca môže obec alebo mesto dostať 2 600 eur. Napríklad Kežmarok môže dostať viac ako 356-tisíc eur, Michalovce viac ako milión eur, Košice-Staré Mesto vyše 1,5 milióna eur či Kvetoslavov okolo 140-tisíc eur. Konkrétna suma sa teda odvíja od toho, koľkým utečencom poskytla daná samospráva dočasné útočisko a na ako dlho. Údaje o registrovaných utečencoch poskytol rezort vnútra.
Nejde o jedinú pomoc z eurofondov
Ministerstvo zároveň avizuje, že nejde o jedinú pomoc na Slovensku z eurofondov. Pripravujú sa ďalšie schémy podpory vrátane podpory mimovládnych organizácií, ktoré pri zvládaní migračnej krízy zohrali taktiež veľkú úlohu. Jednu z nich pripravuje napríklad aj ministerstvo práce. "Celkovo môže Slovensko použiť na riešenie najväčšej migračnej krízy od konca druhej svetovej vojny až 315 miliónov eur z eurofondov," doplnila Remišová. Prípadné otázky môžu žiadatelia posielať prostredníctvom e-mailovej adresy [email protected].